Skip to main content

Contoh Rpp Adiwiyata

Bagi kamu yang mencari contoh rpp adiwiyata maka Cabang Web adalah tempat yang tepat untuk memulai. Kamu bisa menemukan ratusan ribu dokumen dari berbagai tema dan kategori dalam bentuk file Word, PDF atau Powerpoint. Kami menyediakan berbagai tema-tema populer mulai dari kesehatan, lingkungan, bisnis, pendidikan, internet, asuransi, pertanian, dan masih banyak lagi tema-tema menarik yang bisa kamu temukan disini.

contoh rpp adiwiyata Download

No. Title Source Updated At

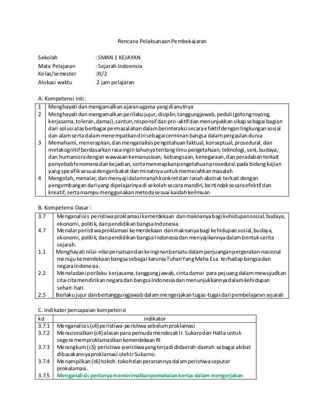
Contoh Rpp Adiwiyata Halaman / Dokumen

Unduh Dokumen Lainnya

Jika kamu mencari MS Word lain selain contoh rpp adiwiyata. Cukup dengan ketikkan kata kunci yang kamu inginkan di kolom pencarian, dan kamu akan menemukan dokumen terkait sesuai kata kunci. Baca atau download di smartphone atau laptop kamu sebagai koleksi yang bisa kamu baca sewaktu-waktu.

Cari dan temukan berbagai text dan dokumen berbasis microsoft Word, PDF atau Powerpoint dengan mudah dan gratis. Dapatkan dokumen apapun yang kamu inginkan dengan hanya beberapa langkah sederhana.

Comments

Popular posts from this blog

SURAT REKOMENDASI KEUCHIK GAMPONG PULO DRIEN

SURAT REKOMENDASI KEUCHIK GAMPONG PULO DRIEN ini adalah contoh SURAT REKOMENDASI KEUCHIK GAMPONG PULO DRIEN yang telah saya sediakan tinggal di copy saja, nanti akan rapi sendiri di Aplikasi Microsoft Word Anda PEMERINTAH KABUPATEN PIDI E KECAMATAN MUTIARA TIMUR KEUCHIK GAMPONG PULO DRIEN   REKOMENDASI Nomor :           /            /            / 2015 Keuchik Gampong Pulo Drien Kecamatan Mutiara Timur Kabupaten Pidie Provinsi Aceh, dengan ini m enerangkan bahwa:             Nama                            : NURJANNAH           ...

SURAT Permohonan Pergantian Bendahara Rekening Bank MGMP Bahasa Inggris

SURAT Permohonan Pergantian Bendahara Rekening Bank MGMP Bahasa Inggris  Ini adalah contoh SURAT Permohonan Pergantian Bendahara Rekening Bank MGMP Bahasa Inggris  yang telah saya sediakan tinggal di copy saja, nanti akan rapi sendiri di Aplikasi Microsoft Word Anda MUSYAWARAH GURU MATA PELAJARAN PELAJARAN BAHASA INGGRIS SMP/MTs RAYON III MUTIARA KABUPATEN PIDIE Alamat : Jl. Banda Aceh – Medan KM, 125, Beureunuen Kab. Pidie telp (0653) 821625   Lampiran         : - Perihal             : Permohonan Pergantian Bendahara Rekening Bank MGMP Bahasa Inggris   Rayon III Mutiara Kepada Yth : Bapak / Ibu Kepala BRI Cabang Unit Mutiara Di                       Tempat Assalamualaikum Wr. Wb. Salam ...

Surat Permohonan Menjadi Guru Kontrak Daerah

Surat Permohonan Menjadi Guru Kontrak Daerah ini adalah contoh Surat Permohonan Menjadi Guru Kontrak Daerah yang telah saya sediakan tinggal di copy saja, nanti akan rapi sendiri di Aplikasi Microsoft Word Anda                                                                                 Sigli, 20 April 2015                                                ...