Skip to main content

Rpp Bahasa Inggris Kelas 9 Semester 1 Ktsp

Bagi kamu yang mencari rpp bahasa inggris kelas 9 semester 1 ktsp maka Cabang Web adalah tempat yang tepat untuk memulai. Kamu bisa menemukan ratusan ribu dokumen dari berbagai tema dan kategori dalam bentuk file Word, PDF atau Powerpoint. Kami menyediakan berbagai tema-tema populer mulai dari kesehatan, lingkungan, bisnis, pendidikan, internet, asuransi, pertanian, dan masih banyak lagi tema-tema menarik yang bisa kamu temukan disini.

rpp bahasa inggris kelas 9 semester 1 ktsp Download

No. Title Source Updated At

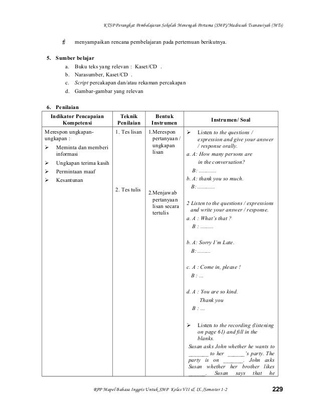
Rpp Bahasa Inggris Kelas 9 Semester 1 Ktsp Halaman / Dokumen

Unduh Dokumen Lainnya

Jika kamu mencari MS Word lain selain rpp bahasa inggris kelas 9 semester 1 ktsp. Cukup dengan ketikkan kata kunci yang kamu inginkan di kolom pencarian, dan kamu akan menemukan dokumen terkait sesuai kata kunci. Baca atau download di smartphone atau laptop kamu sebagai koleksi yang bisa kamu baca sewaktu-waktu.

Cari dan temukan berbagai text dan dokumen berbasis microsoft Word, PDF atau Powerpoint dengan mudah dan gratis. Dapatkan dokumen apapun yang kamu inginkan dengan hanya beberapa langkah sederhana.

Comments

Popular posts from this blog

Rpp Bahasa Inggris Kelas 3

Bagi kamu yang mencari rpp bahasa inggris kelas 3 maka Cabang Web adalah tempat yang tepat untuk memulai. Kamu bisa menemukan ratusan ribu dokumen dari berbagai tema dan kategori dalam bentuk file Word, PDF atau Powerpoint. Kami menyediakan berbagai tema-tema populer mulai dari Gambar Bahasa Inggris, Bahasa Inggris Tahap 1, Bahasa Mandarin, Bahasa Indonesia, Benda Bahasa Inggris, Bahasa Sunda, Logo Bahasa Inggris, Kamus Bahasa Inggris, Bahasa Inggris Symbol, Quote Bahasa Inggris, Soal Bahasa Inggris, dan masih banyak lagi tema-tema menarik yang bisa kamu temukan disini. rpp bahasa inggris kelas 3 Download No. Title Source Updated At Rpp Bahasa Inggris Kelas 3 Halaman / Dokumen ...

SURAT Permohonan Pergantian Bendahara Rekening Bank MGMP Bahasa Inggris

SURAT Permohonan Pergantian Bendahara Rekening Bank MGMP Bahasa Inggris  Ini adalah contoh SURAT Permohonan Pergantian Bendahara Rekening Bank MGMP Bahasa Inggris  yang telah saya sediakan tinggal di copy saja, nanti akan rapi sendiri di Aplikasi Microsoft Word Anda MUSYAWARAH GURU MATA PELAJARAN PELAJARAN BAHASA INGGRIS SMP/MTs RAYON III MUTIARA KABUPATEN PIDIE Alamat : Jl. Banda Aceh – Medan KM, 125, Beureunuen Kab. Pidie telp (0653) 821625   Lampiran         : - Perihal             : Permohonan Pergantian Bendahara Rekening Bank MGMP Bahasa Inggris   Rayon III Mutiara Kepada Yth : Bapak / Ibu Kepala BRI Cabang Unit Mutiara Di                       Tempat Assalamualaikum Wr. Wb. Salam ...

Surat Permohonan Menjadi Guru Kontrak Daerah

Surat Permohonan Menjadi Guru Kontrak Daerah ini adalah contoh Surat Permohonan Menjadi Guru Kontrak Daerah yang telah saya sediakan tinggal di copy saja, nanti akan rapi sendiri di Aplikasi Microsoft Word Anda                                                                                 Sigli, 20 April 2015                                                ...